HOME

Course Chapters

Calculator Fundamentals

Mathematics Review

Basic Concepts

Advanced Concepts


Section Tests

Pre-test

Post-test


Useful Materials

Glossary


Online Calculators

Redox Calculator

Kinetics Arrhenius Calculator

Thermodynamics Calculator

Nuclear Decay Calculator

Linear Least Squares Regression

Newton's Method Equation Solver

Compressibility Calculator

Units Conversion Calculator

Nomenclature Calculator


Related Information Links

Texas Instruments Calculators

Casio Calculators

Sharp Calculators

Hewlett Packard Calculators


Credits

Credits

Contact Webmaster


Data Fitting: Linear Least Squares

Collecting data and observing chemical processes and reactions are important elements in chemistry. However, if you notice in your chemistry text, laws are usually represented, mathematically, not by data . To compare data to known laws, it is important to represent the data mathematically. For example, when dealing with kinetics we are often concerned with the concentration of a substance. Measuring the concentration at several different times can yield a set of data which we need to represent with an equation rather than as separate points. To do this we use a process called line or data fitting, and in this reading we will explain one of these methods, a process called linear least squares fitting. This process gives a linear fit in the slope-intercept form (y=mx+b). You can explore the behavior of linear least squares regression by using the Linear Least Squares Regression calculator.

For a general linear equation, y=mx+b, it is assumed that the errors in the y-values are substantially greater than the errors in the x-values. The vertical deviation can be calculated using this formula:

If the square of the deviations is minimized, the "best line" can be calculated:

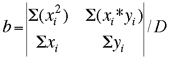
By the use of matrix algebra (determinants), the values of the slope (m) and the y-intercept (b) can be calculated.

A short review of determinants:


Now, the values for m, b, and the deviation D can be determined by these matrices:

The regression form which is available submits the entered data to a perl script, which calculates the above matrices and graphs the data with the regression line.

Notice that this theory assumes the data are in a linear form. If data for a curve is passed to this program, it still calculates a straight line. Deciding which type of regression fits best is the user's responsibility. If data is a curve, there are ways to modify the data in order to fit a linear line. Often times, taking the natural logarithm or square root of the data will suffice.


[Back to Mathematics Index] [Basic Matrix Math] [Linear Least Squares] [Newton's Method] [Integration Techniques]


Developed by
Shodor
in cooperation with the Department of Chemistry,
The University of North Carolina at Chapel Hill

Copyright © 1996-2008 Shodor
Please direct questions and comments about this page to
WebMaster@shodor.org