HOME

Course Chapters

Calculator Fundamentals

Mathematics Review

Basic Concepts

Advanced Concepts


Section Tests

Pre-test

Post-test


Useful Materials

Glossary


Online Calculators

Redox Calculator

Kinetics Arrhenius Calculator

Thermodynamics Calculator

Nuclear Decay Calculator

Linear Least Squares Regression

Newton's Method Equation Solver

Compressibility Calculator

Units Conversion Calculator

Nomenclature Calculator


Related Information Links

Texas Instruments Calculators

Casio Calculators

Sharp Calculators

Hewlett Packard Calculators


Credits

Credits

Contact Webmaster


Balancing Equations Using Matrices


NOTE: this application requires that you have a calculator capable of doing MATRICES. Most if not all graphical calculators have this capability. This reading uses the Texas Instrument TI-82 Graphical Calculator as an example.


Early on in your chemistry studies, you will have ample opportunity to balance equations! This is a fundamental skill in chemistry, as you might have noticed from the short reading in stoichiometry! Balancing equations means writing chemical equations such that the amount of stuff you start with in the reaction equals the amount of stuff you end up with as a product. In other words, if I start baking bread with 10 pounds of flour, I should end up with 10 pounds of bread, unless some is lost onto the floor or if some of it goes up in smoke!

A simple example goes a long way. We can form water by combing hydrogen gas (H2) and oxygen (O2) in the presence of electricity. The reaction looks like this:

H2 + O2 ---> H2O

If you do some of the gram molecular weight calculations you will find this:

2 g of hydrogen + 32 g of oxygen = 18 g of water

What this says is that you start with 34 grams of stuff and end up with 18 grams of stuff. You've lost 16 grams of stuff, and in this reaction that just doesn't happen! Where did the 16 grams go?

They're not lost, we just haven't balanced the equation! You might have also noticed that there are two oxygens on the left and only one on the right! We need to get things in the correct proportions for this reaction to be balanced. The balanced reaction looks like this:

2 H2 + O2 ---> 2 H2O

This says that we need two hydrogen molecules to combine with one oxygen molecule to form two new water molecules. If we do the math:

(2 x 2 g of hydrogen) + 32 g of oxygen = (2 x 18 g of water)

we now have 36 grams of stuff on the left and 36 grams on the right. We also now have 4 hydrogens on the left, four hydrogens on the right, two oxygens on the left, and two oxygens on the right. We can say that this equation is mass balanced. In your studies of chemistry, you will also need to be concerned with charge balancing, but we'll let your profs help you with that!

Balancing equations is an art, but if you have a calculator that can handle what is known as a "matrix", you have a foolproof way of balancing equations! A matrix is a group of numbers, arranged in rows and columns, like this:

This is called a "2 by 2" or "2 x 2" matrix, because it has two rows (going across) and two columns (going down). In this application, you will have to do three matrix operations:

  1. Multiply two matrices
  2. Find the determinant of a matrix
  3. Find the inverse of a matrix

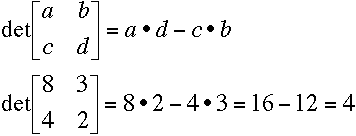
Fortunately, graphing calculators make this particularly easy! To help you understand a little of what you are doing, let's explain finding the determinant. The determinant is a single number generated by cross-multiplying the terms in the matrix. You must have a square matrix (n X n) to be able to find the determinant. The equation for finding the determinant is:

The example below the equation shows a sample calculation for a 2 x 2 matrix. Notice that you are cross multiplying the opposite terms, then subtracting out the other set of opposite set of multiplied terms. Pretty easy.

Here is how this is done on the TI-82 Graphical Calculator. These instructions are SPECIFIC to the TI-82:

  1. Turn the calculator on (yep, common sense, but want to make sure that's done!)
  2. Hit the "MATRIX" button
  3. Use right arrow key to scroll over to "EDIT"
  4. Type "1" for Matrix A
  5. Type "2" for number of rows, the ENTER
  6. Type "2" for number of columns, then ENTER
  7. Type each of the numbers, following each with ENTER: 8-ENTER-3-ENTER-4-ENTER-2-ENTER
  8. Type the blue "2nd" button then "QUIT" (above the MODE button)
  9. Type MATRIX, then scroll to MATH
  10. Hit "1" for "det"
  11. Hit MATRIX then "1". You should see "det [A]" in the window.
  12. Hit the ENTER key, you should see the result "4"

Now we are ready to talk about balancing equations. Let's choose a simple reaction:

a Cr + b O2 ---> c Cr2O3

We have two different elements, Cr and O, so we will need two different equations. We are trying to calculate the values of a, b, and c, the coefficients of the reaction. The two equations look like this:

Cr: 1a + 0b = 2c
O: 0a + 2b = 3c

The "1a" means that there is one Cr behind the "a" coefficient, zero Cr's behind the "b" coefficent, and 2 Cr's behind the c coefficient. We use the same technique for oxygen. We now have two matrices (called Matrix A and Matrix B):

To obtain the values of a, b, and c, do these steps:

  • To calculate a and b, multiply the inverse of Matrix A times Matrix B times the determinant of Matrix A: [A]-1 x [B] x det[A]
  • To calculate c, calculate the determinant of Matrix A.

Here is how to do the first step:

  1. Enter Matrix A as a 2x2 matrix, using the technique described above
  2. Enter Matrix B as a 2x1 matrix, using the same technique
  3. Once this is done, you can hit "2nd" then "QUIT" to get a blank screen.
  4. Call up Matrix A by typing MATRIX 1 (you should see [A])
  5. Hit "x-1" to set up the inverse
  6. Hit the "x" for multiply.
  7. Hit MATRIX 2 to call up Matrix B
  8. Hit the "x" for multiply
  9. Hit MATRIX, scroll to MATH, then 1 to do a determinant
  10. Hit MATRIX 1 to call up Matrix A. You should now have: [A]-1 * [B] *det [A]
  11. Hit the ENTER key to get your result of [[ 4 ] [3 ] ]. The coefficient a is equal to 4, and the coefficent b is equal to 3!

To do the second part, calculating c:

  1. Hit MATRIX, scroll to MATH, select 1 for the determinant
  2. Hit MATRIX 1 to call up Matrix A, hit the ENTER key to get the result for c as 2

The balanced equation is now:

4 Cr + 3 O2 ---> 2 Cr2O3


Try It Out

  1. Balance:

    MgO + Fe ---> Fe2O3 + Mg

    Check your work.

  2. Balance:

    Cu2S + O2---> Cu + SO2

    Check your work.

  3. Balance:

    FeCl2 + Na3(PO4)---> Fe3(PO4)2 + NaCl

    Check your work.


[Mathematics Index [Basic Matrix Math] [Linear Least Squares] [Newton's Method] [Integration Techniques]


Developed by
Shodor
in cooperation with the Department of Chemistry,
The University of North Carolina at Chapel Hill

Copyright © 1996-2008 Shodor
Please direct questions and comments about this page to
WebMaster@shodor.org